OSZ-Banner


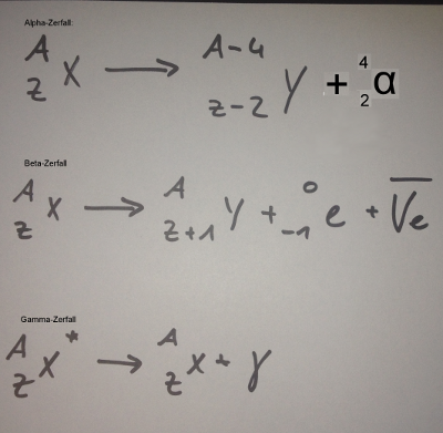
Zerfallsarten und Gleichungen für Kernreaktionen

Bei allen Kernumwandlungen tritt radioaktive Strahlung auf. Wir unterscheiden zwischen Alpha-Strahlung, Beta-Strahlung und Gamma – Strahlung.



Die Energie der verschiedenen Arten von Strahlungen kann sehr unterschiedlich sein.
Sie hängt von der jeweiligen Strahlungsquelle ab.
Durch diese Energien können Gase ionisert, Filme geschwärzt und biologische Zellen verändert werden.

Das Durchdringungsvermögen radioaktiver Strahlung ist abhängig:
→ von der Art der Strahlungen
→ von der Energie der Strahlungen
→ von der Art des durchstrahlten Stoffs
→ von der Dicke des durchstrahlten Stoffs
Wir halten fest, dass das Durchdringungsvermögen von Alpha–Strahlung am kleinsten ist und das von Gamma-Strahlung am größten.



→ Die Kernladungszahl legt nun das neue Element fest.



Begriffserlärungen

Kernumwandlung/Kernreaktion
Unter einer Kernumwandlung oder Kernreaktion versteht man die Umwandlung von Atomkernen in neue Kerne.

Radioaktivität
Unter Radioaktivität versteht man die Erscheinung, dass sich Atomkerne unter Abgabe radioaktiver Strahlung verändert.

Nuklid
Ein durch Massenzahl und Kernladungszahl eindeutig charakterisierter Atomkern wird als Nuklid bezeichnet.

Isotop
Atomkerne mit gleicher Protonenzahl, aber unterschiedlicher Anzahl von Neutronen werden als Isotope bezeichnet.

Erstellt von H.C. mit kleinen Ergänzungen von Herrn Ecker 8.3.2014




Zurück zur Kurs-Übersicht