Elektronenbeugung
08.12.2010Die beiden Physiker Davisson und Germer entdeckten 1919, dass Elektronenstrahlen bei der Reflexion an einem Nickelkristall winkelabhängige Intensitätsmuster zeigten. Dies konnte einige Jahre nicht erklärt werden. Erst 1927 als man die Hypothese von de Broglie auf dieses Experiment anwendete, konnten die Beobachtungen vollständig erklärt werden.
In unserem Versuch werden Elektronen in einer Vakuumröhre durch eine Graphitfolie geschossen und das Beugungsbild auf einem Leuchtschirm sichtbar gemacht.
Versuchsaufbau:
In einer Vakuumröhre (evakuierte Glasröhre) wird eine dünne Graphitfolie mit Elektronen, aus einer Glühkathode, durchstrahlt. Die Ausbreitung der Elektronen wird durch einen Leuchtschirm (Fluoureszenzschirm) sichtbar gemacht. Die Spannung UB kann von 0-4kV eingestellt werden. Sie beschleunigt die Elektronen und wird mit einem Voltmeter gemessen.

Schaltskizze:

Versuchsdurchführungung:
Zuerst wird die Heizspannung eingeschaltet und dann die Beschleunigungsspannung. Anschließend werden die Durchmesser der Ringe bei verschiedenen Spannungen gemessen. Ein Stabmagnet wird an die Röhre gehalten.
Versuchsbeobachtung:
Sobald die Elektronen freigesetzt werden, erkennt man auf dem Leuchtschirm einen zentralen hellen Punkt und zwei konzentrische Ringe um diesen Punkt. Die Durchmesser der Ringe variieren mit der Beschleunigungsspannung. Je größer die Beschleunugungsspannung ist, desto kleiner sind die Durchmesser. Ein an die Röhre gehaltener Stabmagnet verzerrt die Kreise.

Messergebnisse:
| U in kV | 3,0 | 3,5 | 4,0 |
|---|---|---|---|
| D1 in cm | 2,9 | 2,6 | 2,5 |
| D2 in cm | 4,9 | 4,6 | 4,2 |
Versuchserklärung und Auswertung:
Die Graphitschicht besteht aus vielen Kristalliten (sehr kleine Kristalle), diese sind willkürlich angeordnet. Innerhalb der Kristallite liegen die Kohlenstoffatome in einer sehr regelmäßigen Gitterstruktur vor. In einer Ebene ist eine wabenartige Struktur vorhanden.

Wenn Elektronen auf die Graphitfolie treffen, werden sie an den Gitterebenen der einzelnen Kristallite gestreut.
Jeder Kristallit liefert zwei Punkte der ersten Beugungsordnung unter dem Winkel 2θ auf jeder Seite der nullten Ordung.
Da die Kristallite willkürlich angeordnet sind, gibt es überall um die nullte Ordnung herum Punkte,
somit entstehen zwei Ringe von Punkten auf dem Leuchtschirm.
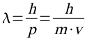
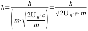
Berechnung der Gitterabstände:



.
.
.
| U in kV | 3,0 | 3,5 | 4,0 |
|---|---|---|---|
| λ in pm | 27,50 | 25,46 | 23,82 |
| D1 in cm | 2,9 | 2,6 | 2,5 |
| d1 in nm | 0,210 | 0,216 | 0,210 |
| D2 in cm | 4,9 | 4,6 | 4,2 |
| d2 in nm | 0,125 | 0,123 | 0,126 |
Ergebnis:
Beim Durchgang durch sehr enge Gitter, wie sie z. B. in Kristallen vorkommen, verhalten sich Elektronen genauso wie Wellen und erzeugen Interferenzmuster. Bei Elektronen wird die Wellenlänge umso kleiner, je energiereicher sie werden. Mit diesem Experiment konnte die Hypothese von de Broglie bestätigt werden. Außerdem kann man mit Elektronen die Gitterabstände von Kristallen bestimmen, das gelang vorher nur mit Röntgenstrahlen.
Teamarbeit Oliver Sonnenberg und Herr Ecker