Die Bestimmung des Planckschen Wirkungsquantums h
Einleitung:
Max Planck hatte 1900 die Hilfsgröße h zur Erklärung der Strahlung des schwarzen Körpers eingeführt. Im Jahre 1905 hat Albert Einstein diese Naturkonstante mit großem Erfolg benutzt um den Fotoeffekt zu erklären. In den darauf folgenden Jahren zeigte sich die Bedeutung dieser Naturkonstante immer mehr (bei Bohr, de Broglie, Schrödinger...). Wegen dieser großen Bedeutung ist es sehr wichtig die genaue Größe zu kennen. Dieser Versuch ist eine gute Möglichkeit diese Konstante zu bestimmen. Außerdem kann die Austrittsarbeit des Metalls bestimmt werden
Geräte und Funktion:
| Gerät | Funktion |
|---|---|
| 1. LED-Panel | liefert monochromatisches Licht verschiedener Wellenlängen |
| 2. Fotozelle | Versuchsgegenstand |
| 3. Gleichspannungsquelle | liefert die Gegenspannung |
| 4. Voltmeter | Zum Messen der Gegenspannung |
| 5. Messverstärker | Zum Messen sehr kleiner Ströme |
| 6. Gleichspannungsquelle | Zum Betrieb der Led`s |
| 7. Voltmeter | Zum Anzeigen der verstärkten Ströme |
Versuchsaufbau:


LED-Panel mit Fotozelle (mit schwarzer Abdeckung)
Schaltung:
Beobachtungen:
Siehe Messwerttabelle im Auswertungsteil!
Auswertung:
Einstein stellte für die Erklärung des Fotoeffekts folgende Gleichung auf:

das ist eine Geradengleichung der Form:

Der Steigung m entspricht dabei die Planck-Konstante h und dem Schnittpunkt mit der y-Achse entspricht die Austrittsarbeit Wa.
Damit man diese Gerade erhält muss man die errechneten kinetischen Energien in einem Diagramm über den Frequenzen der 4 LED’s eintragen.
Die Punkte müssen mit einer Ausgleichsgeraden verbunden werden.
Für die Bestimmung der kinetischen Energien der Elektronen verwendet man eine Gegenspannung,
so dass die Elektronen abgebremst werden. Bei der Spannung, bei der kein Anodenstrom mehr fließt gilt:
also 
Damit können die maximalen kinetischen Energien der Elektronen berechnet werden.
Um die Planck-Konstante zu bestimmen, muss man dann die Steigung dieser Geraden berechnen.
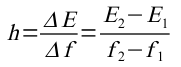
Dazu zeichnet man ein Steigungsdreieck. Für das Steigungsdreieck gilt die Formel:

Der Schnittpunkt der Ausgleichsgerade mit der y-Achse ist die Austrittsarbeit Wa, sie kann einfach abgelesen werden. Der Schnittpunkt mit der x-Achse wird als Grenzfrequenz fgr bezeichnet, also der Frequenz bei der die ersten Elektronen austreten können.
Messwerttabelle mit berechneter kinetischer Energie:

Darstellung der kinetischen Energie in Abhängigkeit von der Frequenz des Lichts und
Berechnung der Steigung der Gerade mit Hilfe des Steigungsdreiecks:

E1 und E2 sowie f1 und f2 werden am Steigungsdreieck abgelesen und in die Gleichung für h eingesetzt:

Ergebnis:
Der Versuch ist sehr gut dazu geeignet, diese Naturkonstante zu bestimmen. Das Ergebnis stimmt ungefähr mit dem Literaturwert des Planck`schen Wirkungsquantums h überein:
.
Für die Austrittsarbeit von Kalium ergibt sich im Diagramm:
Kritische Anmerkung:
Die Auswertung erfolgt mit einfachen grafischen Mitteln. Insbesondere die Lage der Ausgleichsgerade und die Ablesung der Daten vom Steigungsdreieck sind fehleranfällig. Darin liegt auch der Hauptfehler. Der Gesamtfehler beträgt etwa 10%. Bei einer genaueren Zeichnung ließe sich das
Ergebnis noch deutlich verbessern.
Tayfun und Herr Ecker